电子报阅读机
2026-03-24
星期二
当前报纸名称:四川法制报

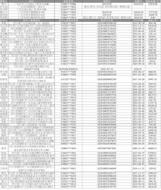
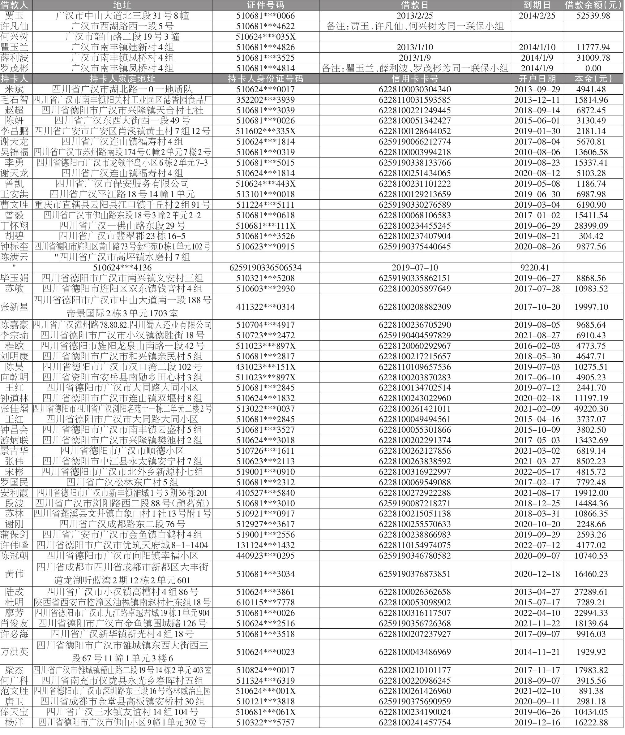
中国邮政储蓄银行股份有限公司广汉市支行催收公告

日期:11-11
字号:
版面:第02版 : 要闻       上一篇    下一篇






    

  以下债务人、信用卡持卡人(见附表)在我行贷款到期已久,截止目前仍未归还借款本息,因其地址和联系方式变动,无法联系到本人,现根据最高人民法院法释(2008)11号的相关规定,对以下债务人所欠借款本金及相应利息进行公告催收,债务人见此公告速来我行归还本息(利息按贷款合同约定计算)。联系地址:广汉市常德路18-20号,联系电话:0838-5305175
  中国邮政储蓄银行股份有限公司广汉市支行
  2025年11月11日