电子报阅读机
2026-03-24
星期二
当前报纸名称:四川法制报

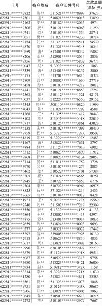
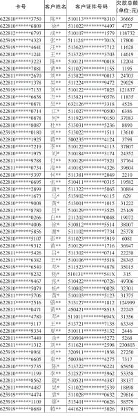
中国邮政储蓄银行股份有限公司成都市武侯区支行信用卡催收公告

日期:11-05
字号:
版面:第02版 : 要闻       上一篇    下一篇












    

  以下持卡人在我行的信用卡已欠款逾期,为维护我行合法权益,特此公告催收,请见此公告后联系我行归还欠款,具体金额以还款日系统数据为准。
  联系人:赵经理,联系电话:028-87042346

  中国邮政储蓄银行股份有限公司成都市武侯区支行
  2025年11月4日