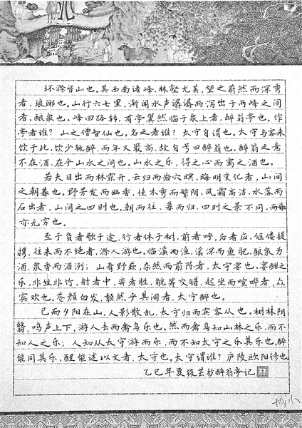
?国画 《岁寒三友》 谢广海(103岁) ?行书 《彭元瑞诗句》 张玉光 ▲国画 《陶潜诗意》 刘良忠(平远县城南中学) ▲小楷 《琴赋》 彭林(平远县城南中学) ▲楷书 《奋斗青春颂》 刘晨霖(平远县热柘中心幼儿园) ▲楷书 《古诗二首》 宋桂霞(平远县八尺中学) ?楷书 《兰亭序》 陈张屹(平远县实验小学) ?楷书 《卖柑者言》 叶子青(平远县城南小学) ▲绘画 《欢乐童年》 李仅(平远县城南小学) 3篆书 《峄山碑》 姚裕淇(平远县第一小学) ?行楷 卓诗华(平远县平远中学) 1楷书 《醉翁亭记》 林筱芸(平远县实验小学) 4楷书 《醉翁亭记》 王溢娟 5绘画 《雪山》 林书疑(平远县实验中学) 为全面贯彻落实党的二十大和二十届二中、三中全会精神,深入学习贯彻习近平文化思想,认真贯彻落实习近平总书记关于文化思想建设的重要讲话和指示批示精神,大力传承中华优秀传统文化,持续开展全县文艺人才“春苗计划”培训工作,为建设“醉美橙乡·多彩平远”作出更大贡献,由平远县教育局、平远县文学艺术界联合会、平远县教师发展中心联合主办,平远县书画院、平远县美术家协会、平远县书法家协会、平远县硬笔协会联合承办,广州市博风雅颂文化传播有限公司支持赞助的平远县纪念抗日战争胜利80周年暨2025年第三届平远县“博风雅颂杯”师生书画展,于今年教师节期间在平远县文学艺术中心开展。此次活动共展出400多件作品,涵盖美术、书法、硬笔等多种形式。本报特开辟专版分2期选登部分佳作(特邀和一等奖作品),以飨读者。
为全面贯彻落实党的二十大和二十届二中、三中全会精神,深入学习贯彻习近平文化思想,认真贯彻落实习近平总书记关于文化思想建设的重要讲话和指示批示精神,大力传承中华优秀传统文化,持续开展全县文艺人才“春苗计划”培训工作,为建设“醉美橙乡·多彩平远”作出更大贡献,由平远县教育局、平远县文学艺术界联合会、平远县教师发展中心联合主办,平远县书画院、平远县美术家协会、平远县书法家协会、平远县硬笔协会联合承办,广州市博风雅颂文化传播有限公司支持赞助的平远县纪念抗日战争胜利80周年暨2025年第三届平远县“博风雅颂杯”师生书画展,于今年教师节期间在平远县文学艺术中心开展。此次活动共展出400多件作品,涵盖美术、书法、硬笔等多种形式。本报特开辟专版分2期选登部分佳作(特邀和一等奖作品),以飨读者。