电子报阅读机
2026-03-26
星期四
当前报纸名称:唐山劳动日报

张森“胜迹千秋”主题书法展作品选登

日期:10-26
字号:
版面:4 书 画 苑       上一篇    下一篇

清 刘鸿儒 “天地乾坤”联

毛泽东《采桑子·重阳》

明 唐顺之《晓发喜峰》

清 张太复《分属岭》

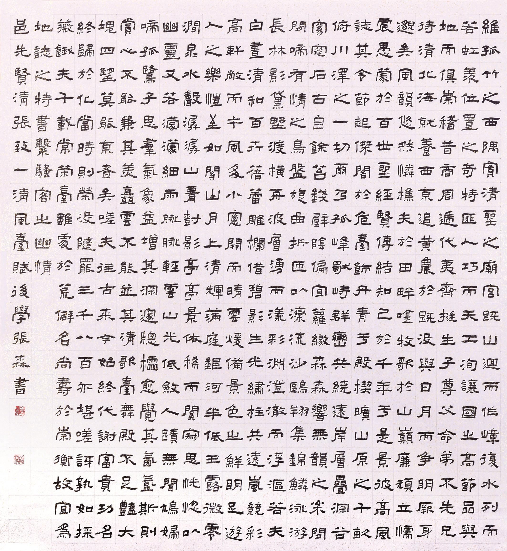
清 张致一《清风台赋》

孤竹城令支城

张森题佛山公园联

近日,中国书法家协会会员、中华诗词学会会员、迁安市书法家协会主席张森,在迁安市博物馆举办“胜迹千秋”主题书法展。

张森曾在迁安一中任教多年,后任职媒体编辑记者。他深耕传统文化领域,参与主编多部在迁安颇具影响力的著作。书法起初是他的业余爱好,后兴趣日浓、愈发痴迷,遂赴杭州、北京等地潜心研习、勤苦修炼。其书法创作根植传统、博采约取,真、草、隶、篆诸体皆能,尤其在汉隶、魏碑上用功最勤,作品多次入选全国专业书法大展。

本次展览共展出80余幅作品,内容多源自清代乾隆、同治年间及民国时期版本的《迁安县志》,涵盖疆域、山川、古迹、人物等诸多方面。所有文字均经张森细心点校与甄别,既彰显其深厚的古文字功底,也体现其独到的审美眼光。此次展览既是对他书法艺术成就的集中展示,也是对迁安悠久历史文化的大力弘扬。本刊特遴选部分书法作品,以飨读者。

——编者

主办:迁安市黄帝文化研究会、政协迁安市委员会办公室

中共迁安市委宣传部、迁安市文化广电和旅游局、迁安市文学艺术界联合会

协办:春瑞书院

展期:2025年10月24日-11月24日

地点:迁安市博物馆2楼展厅

张森艺术简历

张森,1965年出生,中国书法家协会会员、中华诗词学会会员,现任迁安市书法家协会主席、迁安市首批“文化艺术名家工作室”导师。他先后师从全国著名书法家梁小钧、刘景芳、崔胜辉等名家。他主编《迁安文史集萃》(6卷)、《迁安县志》(民国版点校本)、《龙山 岚山》《京东古镇建昌营》,著有《画说旧俗百章》(河北教育出版社)。

书法入展情况:

2006年,入展纪念唐山抗震30周年全国书画展(河北省书协主办);

2009年,河北省第二届职工书画展二等奖(河北省书协主办);

2012年,入展“高远杯”河北省书法大赛(河北省书协主办);

2013年,入展河北省首届临帖展(河北省书协主办);

2014年,入展首届长江杯全国书法作品展(中书协主办);

2020年,入展中国书法家协会书法培训中心教学成果展(中书协培训中心主办);

2021年,入展庆祝中国共产党成立100周年系列书法展——河北省书法大展(中书协、河北省文联主办);

2021年,入展第九届中国书坛新人新作展(中书协主办);

2022年,入展“盛世当歌”京津冀协同发展书画名家曹妃甸邀请展;

2023年,入展山西省左权纪念馆全国书画名家邀请展。