电子报阅读机
2026-04-11
星期六
当前报纸名称:乌兰察布日报

内蒙古自治区察哈尔右翼中旗白音察干至永泰公段高速公路苏勒图、阳湾子、井湾子取土场三处(路基填料用砂土料)拍卖公告

日期:02-28
字号:
版面:第04版:要闻 广告       上一篇    下一篇

一、委托人

名称:察右中旗自然资源局

场所:察右中旗镶蓝大街

二、拍卖会地址

名称:内蒙古嘉得拍卖有限责任公司

场所:内蒙古自治区呼和浩特市新城区内蒙古自治区呼和浩特市新城区哲里木路东方文苑大厦A座2419室

三、拍卖标的(取土场)基本情况

标的1:苏勒图取土场

地理位置:白音察干至永泰公段高速公路项目苏勒图取土场地处察哈尔右翼中旗乌兰哈页苏木苏勒图村,行政区划隶属于察哈尔右翼中旗乌兰哈页苏木管辖。

资源储量:27.6 万立方米

开采标高:1560~1630m

拟出让年限:3个月

起拍价:69.97万元

保证金:70万元

面积:54311平方米

拐点坐标如下:

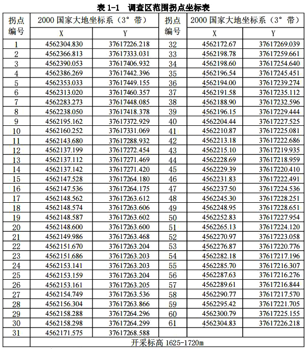
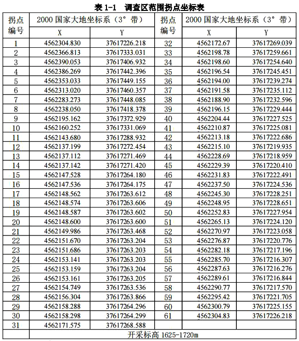
标的2:井湾子取土场

地理位置:白音察干至永泰公段高速公路项目井湾子取土场地处察哈尔右翼中旗乌兰哈页苏木井湾子村,行政区划隶属于察哈尔右翼中旗乌兰哈页苏木管辖。

资源储量:15.6 万立方米

开采标高:1625-1720m

拟出让年限:3个月

起拍价:39.55万元

保证金:40万元

面积:38097平方米

拐点坐标如下:

标的3:阳湾子取土场

地理位置:位于察哈尔右翼中旗乌兰哈页苏木阳湾子村,北东距察哈尔右翼中旗政府所在地科布尔镇约22km,南西距乌兰哈页苏木约2.6km。

资源储量:为11.9万立方米

开采标高:1650-1680m

拟出让年限:3个月

起拍价:31.67万元

保证金:32万元

面积:41459平方米

拐点坐标如下:序号 X Y

《白音察干至永泰公段高速公路苏勒图、杨湾子、井湾子取土场三处路基用砂、土料地质简测、开发利用方案及恢复治理方案》已通过评审,严格按照竞得项目相应的《白音察干至永泰公段高速公路苏勒图、杨湾子、井湾子取土场三处(路基填料用砂土料)地质简测、开发利用方案及恢复治理方案》进行取土及地质环境治理。

取土场地质环境保护及土地复垦要求:《白音察干至永泰公段高速公路苏勒图、杨湾子、井湾子取土场三处路基用砂、土料地质简测、开发利用方案及恢复治理方案》已通过评审,严格按照竞得项目相应的《白音察干至永泰公段高速公路苏勒图、杨湾子、井湾子取土场三处(路基填料用砂土料)地质简测、开发利用方案及恢复治理方案》进行取土场环境治理和土地复垦。

四、竞买人的资质条件

1、本次拍卖要求竞买人具有国内注册的独立法人资格及有效的企业法人营业执照,在人员、设备、资金等方面具有相应的能力,企业法人以及企业法人代表、控股股东无严重失信行为,且企业不存在以下情形:

(1)被人民法院列入失信被执行人的;

(2)被市场监督管理部门列入企业经营异常名录或严重违法失信企业名单的;(3)被税务部门列入重大税收违法失信主体的;

(4)被列入公共资源交易领域严重失信主体名单的;

(5)被列入国家企业信用信息公示系统失信企业名单的;

2、参加竞买者须缴纳竞买保证金,竞得的企业保证金可抵收益价款,未竞得的企业保证金于5个工作日内退回,不计利息。本次拍卖不接受联合申请,经审查合格的申请人均可参加此次拍卖活动并领取《竞买资格确认书》。

竞买人资质条件须经拍卖人确认,符合竞买资质条件和资格的竞买人要在规定的时间地点缴纳竞买保证金后方可参加竞买活动,逾期未缴纳保证金的视为放弃。

五、出让方式及交易的时间、地点

出让方式:拍卖

拍卖时间:2025年03月21日 09:30

地点:内蒙古自治区呼和浩特市新城区内蒙古自治区呼和浩特市新城区哲里木路东方文苑大厦A座2419室

六、获取拍卖文件的途径和申请报名的起止时间及方式

获取拍卖文件的途径:报名现场获得该取土场拍卖出让的有关文件与资料,按拍卖出让方案要求提出竞买申请。

申请报名的起止时间:报名时间:2025年02月28日起至2025年03月20日上午09:00-12:00,下午14:00-17:00

申请地点:呼和浩特市如意开发区天泰董事汇广场2号楼1612

申请报名需提供的资料:

1.凡参加竞买者,需持单位营业执照副本原件、法人授权委托书及受托人身份证原件、《参拍须知》中所要求的相关材料及文件(以上资料需提供原件及参加单位公章的复印件一式四份)到内蒙古嘉得拍卖有限责任公司办理报名参拍手续。

2.竞买人报名时需交纳参拍保证金,成交后买受人(受让人)的保证金抵作相应的拍卖佣金后余款原账号退回,其它竞买人的保证金于拍卖会结束后5个工作日内无息退还。

七、确定买受人的标准和方法

本次拍卖出让采用有底价增价拍卖方式,以拍卖会现场最高竞价达到或超出拍卖底价的应价者经拍卖师落槌宣布为买受人。

八、风险提示

1、出让人和交易机构不统一组织现场踏查。竞买人应充分了解风险,应当自行前往实地踏查(现场踏查费用自理),出现问题后果自负,并自行承担由于国家政策调整带来的风险。

2、在运输中若损毁农村道路,买受人(受让人)必须依法赔偿。

3、买受人自行解决除出让标的物以外等方面的问题和矛盾,并承担费用。

九、对交易异议的处理方式

按照相关法律法规执行。

十、失信联合惩戒提示

拍卖成交的,买受人如逾期或拒绝签订《成交确认书》,视为违约,出让方可取消其买受人资格,竞买保证金扣除拍卖佣金后余款作为违约金不予退还。同时,将竞买人纳入公共资源交易领域严重违法失信“黑名单”,实施联合惩戒。

十一、其他内容

拍卖取土场情况:只供应白音察干至永泰公段高速公路建设使用。取土场产品:路基用土料;增价幅度:2万元。

时间地址安排:公告时间:2025年02月28日起至2025年03月20日;报名时间:2025年02月28日起至2025年03月20日上午09:00-12:00,下午14:00-17:00。保证金到账截止时间:2025年03月20日下午17:00。相关勘界、地质、开发利用、环境治理、评估拍卖等费用确认成交后由受让方支付、取土场开采前设立专户足额储存环境治理基金,治理完成后经验收合格后,返还治理基金。取土场只供应白音察干至永泰公段高速公路建设使用,采挖,不得向外销售,工程完成后恢复取土场生态环境。取土场可能涉及有关土地、林草、道路、地上附着物等补偿费用或因土地、林草地使用权造成的纠纷,以及造成的噪音、粉尘等环境纠纷,全部由买受人协调解决,并承担相关费用。

本公告在察右中旗人民政府门户网站、乌兰察布日报同时发布。

察哈尔右翼中旗自然资源局

内蒙古嘉得拍卖有限责任公司

2025年2月28日